Directed Graph Plugin Examples

Howto

HowtoDirectedGraphs has a basic howto on creating directed graphs using dot. The below examples show some of the capabilities of the DirectedGraphPlugin

Examples

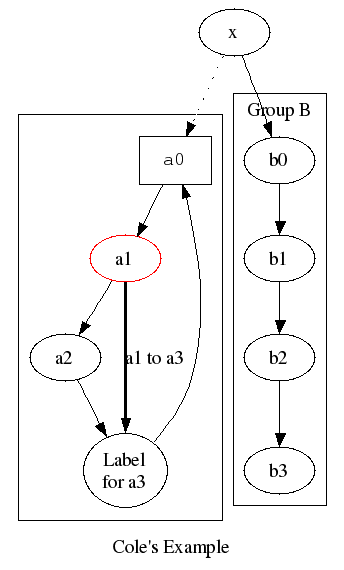
Cole's example

You type:

<dot >
digraph G {
    subgraph cluster_c0 {a0 -> a1 -> a2 -> a3}
    subgraph cluster_c1 {
        b0 -> b1 -> b2 -> b3;
        label="Group B";
    }
    x -> a0 [style=dotted];
    x -> b0;
    a1 -> a3 [style=bold, label="a1 to a3"];
    a3 -> a0;
    a0 [shape=box, fontname=Courier, fontsize=11];
    a1 [color=red];
    a3 [label="Label\nfor a3"];
    label="Cole's Example";
}
</dot> 
You get: (simulated)
graphsample.png
You get: (if installed)
digraph G { subgraph cluster_c0 {a0 -> a1 -> a2 -> a3} subgraph cluster_c1 { b0 -> b1 -> b2 -> b3; label="Group B"; } x -> a0 [style=dotted]; x -> b0; a1 -> a3 [style=bold, label="a1 to a3"]; a3 -> a0; a0 [shape=box, fontname=Courier, fontsize=11]; a1 [color=red]; a3 [label="Label\nfor a3"]; label="Cole's Example"; }

Clientside imagemap (clickable nodes and edges)

You type:

<dot map="1" size="auto" antialias="on">
digraph G {
    URL="http://foswiki.org";
    Plugins [URL="http://foswiki.org/Extensions"];
    DirectedGraphPlugin [URL="http://foswiki.org/Extensions/DirectedGraphPlugin"];
    Plugins -> DirectedGraphPlugin;
}
</dot>
You get: (simulated)
You get: (if installed)
digraph G { URL="http://www.foswiki.org"; Plugins [URL="http://foswiki.org/Extensions/PluginPackage"]; DirectedGraphPlugin [URL="http://foswiki.org/Extensions/DirectedGraphPlugin"]; Plugins -> DirectedGraphPlugin; }
You get: (simulated, antialiasing on)
graphsample2_antialiased.png
You get: (if installed, antialiasing on)
digraph G { URL="http://www.foswiki.org"; Plugins [URL="http://foswiki.org/Extensions/PluginPackage"]; DirectedGraphPlugin [URL="http://foswiki.org/Extensions/DirectedGraphPlugin"]; Plugins -> DirectedGraphPlugin; }

Usecase description / state diagram

To view the dot input for this example, click the [dot] link located below the diagram.

You get: (simulated)
usecase_sample.png
You get: (if installed)
digraph G { size="9"; graph [rankdir="TB" label="1st Time Use/Phone Registration" fontsize=12 bgcolor="#eeeeff"]; node [shape=box fontsize=9]; edge [color=blue fontsize=8 font="Arial"];

cell_number_entry [label="Cell Number Entry"]; welcome [label="Welcome Page"]; member_name_creation [label="Member Name Creation"]; password_creation [label="Password Creation"]; member_name_unavailable [label="Member Name Unavailable"]; email_entry [label="Email Entry"]; zip_code_entry [label="Zip Code Entry"]; tos [label="TOS"]; decline_confirmation [label="Decline Confirmation"]; registration_confirmation [label="Registration Confirmation"]; member_name_entry [label="Member Name Entry"]; password_entry [label="Password Entry"]; confirm_phone_number [label="Confirm Phone Number"]; unsuccessfull_sign_in [label="Unsuccessfull Sign In"]; email_confirmation [label="Email Confirmation"]; main_menu [label="Main Menu"]; initial_screen [label="Initial Screen"]; exit_application [label="Exit the Application"];

welcome -> initial_screen [label="First Time"] initial_screen -> member_name_creation [label="Register"]; initial_screen -> member_name_entry [label="Sign In"]; member_name_creation -> password_creation [label="Valid Member Name" dir="both"]; member_name_creation -> member_name_unavailable [label="Invalid Member Name" dir="both"]; welcome -> password_creation; password_creation -> cell_number_entry [dir="both"]; member_name_entry -> password_entry [dir="both"]; cell_number_entry -> email_entry [dir="both"]; password_entry -> confirm_phone_number [label="Auth. Successful" dir="both"]; password_entry -> unsuccessfull_sign_in [label="Auth. Unsuccessful"]; email_entry -> zip_code_entry [dir="both"]; zip_code_entry -> tos [dir="both"]; confirm_phone_number -> main_menu; unsuccessfull_sign_in -> member_name_entry [label="Try Again" constraint="false"]; unsuccessfull_sign_in -> email_confirmation; tos -> decline_confirmation [label="Decline" dir="both"]; tos -> registration_confirmation [label="Accept"]; decline_confirmation -> exit_application [label="Yes"]; registration_confirmation -> main_menu [label="10 Sec/NEXT"]; }

Component architecture (inline SVG)

This is a typical example of a component architecture drawing (This kind of graph is also easy to do in Foswiki:Extensions.JHotDrawPlugin if you like the look but you prefer to draw it manually using your mouse).

Click the [dot] link located below the diagram to view the input. Note that this example is an inline SVG with fallback to PNG

You get: (simulated)
sample_component_architecture.png
You get: (if installed)
digraph G { graph [rankdir=LR, size="9.5,2.5"] subgraph cluster_0 { graph [label=User] edge [style=dashed] browser [label="WWW\nbrowser" URL="http://www.mozilla.org/"] svgplugin [label="SVG Plugin" URL="http://www.adobe.com/svg/viewer/install/old.html"] pdfplugin [label="PDF Plugin" URL="http://www.adobe.com/support/downloads/product.jsp?product=10&platform=unix"] svgplugin -> browser svgplugin -> browser [dir=back] pdfplugin -> browser pdfplugin -> browser [dir=back] { graph [rank=same] pngpage [label=PNG shape=box URL="/webdot/webdot/demo.dot.dot.png"] svgpage [label=SVGZ shape=box URL="/webdot/webdot/demo.dot.dot.svgz"] pdfpage [label=PDF shape=box URL="/webdot/webdot/demo.dot.dot.pdf"] } pngpage -> browser [dir=none style=dotted] svgpage -> svgplugin [dir=none style=dotted] pdfpage -> pdfplugin [dir=none style=dotted] } subgraph cluster_1 { graph [label="Server 1"] httpd1 [label=httpd URL="http://httpd.apache.org/"] webdot [label="/cgi-bin/webdot" style=filled fillcolor=yellow color=black URL="/webdot/"] } subgraph cluster_2 { graph [label="Server 2"] httpd2 [label=httpd URL="http://httpd.apache.org/"] "demo.dot" [shape=box URL="/webdot/demo.dot"] httpd2 -> "demo.dot" [dir=none style=dotted] } browser -> httpd1 -> webdot -> httpd2 browser -> httpd1 -> webdot -> httpd2 [dir=back] }

Simple LAN setup (custom icons / shapefiles)

This type of graph can also easily be extended, for instance making network nodes clickable, pointing to asset databases or similar.

Click the [dot] link below the diagram to view the input.

You get: (simulated)
sample_simple_lan_setup.png
You get: (if installed)
digraph G { size="2,3!"; dpi="100"; edge [arrowhead=none color=blue]; node [fontcolor=blue color=white];

Workstation [shapefile="Sun_Workstation.png"]; Printer [shapefile="Printer.png"]; Internet [shapefile="Cloud-Filled.png"]; Router [shapefile="Wireless_Router.png"]; Switch [shapefile="Workgroup_Switch.png"]; Laptop [shapefile="Laptop.png"];

Workstation -> Switch; Printer -> Switch; Switch -> Router; Router -> Internet; Laptop -> Router [style=dotted]; }
You get: (if installed, antialiased)
digraph G { size="2,3!"; dpi="100"; edge [arrowhead=none color=blue]; node [fontcolor=blue color=white];

Workstation [shapefile="Sun_Workstation.jpg"]; Printer [shapefile="Printer.jpg"]; Internet [shapefile="Cloud-Filled.jpg"]; Router [shapefile="Wireless_Router.jpg"]; Switch [shapefile="Workgroup_Switch.jpg"]; Laptop [shapefile="Laptop.jpg"];

Workstation -> Switch; Printer -> Switch; Switch -> Router; Router -> Internet; Laptop -> Router [style=dotted]; }

Related Topics: HowtoDirectedGraphs
Topic revision: r1 - 20 Dec 2013, ProjectContributor
This site is powered by FoswikiCopyright © by the contributing authors. All material on this collaboration platform is the property of the contributing authors.
Ideas, requests, problems regarding Foswiki? Send feedback